Test of Correlation Coefficient
A correlation coefficient test checks whether the observed relationship between two variables is statistically significant. This means the correlation is unlikely to have happened by chance, and it likely reflects a real relationship in the population.
A correlation coefficient of zero means there is no linear relationship between the variables.
The test evaluates whether the sample’s correlation is significantly different from zero, helping to decide if a true linear relationship exists between the two variables in the population.
Hypothesis:
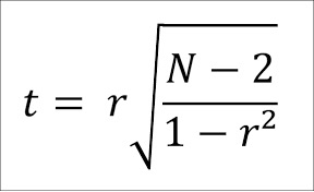
Test Statistic
A t-test is commonly used to evaluate the significance of the correlation coefficient.
The test statistic (t) is calculated using the formula:

Where 'r' is the sample correlation coefficient and 'n' is the sample size. The degrees of freedom for this test are df = n - 2.
To calculate p-value
When we calculate the test statistic t, it is considered a random variable. This is because if we took a different sample, the value of t might change. Statisticians have shown that the distribution of t follows the Student’s t-distribution.
As the sample size (n) becomes large, the t-distribution becomes very similar to the normal distribution (z-distribution). The graph below represents an abstract view of this distribution to aid understanding.
The figure shows that, regardless of the sign, a larger absolute value of z (or t) corresponds to a smaller probability area—meaning it’s less likely to occur by chance.
So, if our t-value is large, the probability of the null hypothesis being true becomes smaller. This probability is known as the p-value. Therefore, to reject the null hypothesis, we look for a larger t-value and a smaller p-value.
Now the question is: How small should the p-value be to reject the null hypothesis?
Statisticians commonly use a rule of thumb: If the p-value is less than 0.05, we reject the null hypothesis.

Python codes:
import pandas as pd
from scipy.stats import pearsonr
wt = [67, 69, 85, 83, 74, 81, 97, 92, 114, 85]
sbp = [120, 125, 140, 160, 130, 180, 150, 140, 200, 130]
# Create DataFrame
Comments:
Statlearner
Statlearner